مقالات

مقالات
تازه‌ترین‌ها در مقالات
IGBT چیست؟
 ۱۶ دی ۱۳۹۷
 گروه تحقیق و توسعه تالی الکتریک

IGBT چیست؟

IGBT( مخفف کلمه The Insulated Gate Bipolar Transistor ) جزیی از نیمه هادی های قدرت بوده و در درجه اول به عنوان یک سوئیچ الکترونیکی استفاده می‌شود. این قطعه حامل اقلیت با امپدانس ورودی بالا و قابلیت بالای حمل جریان دوقطبی می باشد. IGBT (ترانزیستور دو قطبی با گیت عایق شده ) یک نیمه هادی جدید و کاملاً صنعتی است که از ترکیب دو نوع ترانزیستور BJT و MOSFET ساخته شده است.بسیاری از طراحان، IGBT را به عنوان قطعه ای با ویژگی های ورودی MOSFET و ویژگی خروجی دوقطبی BJT نشان می ...  ادامه مطلب 
DSP چیست؟
 ۱۶ دی ۱۳۹۷
 گروه تحقیق و توسعه تالی الکتریک

DSP چیست؟

پردازنده های سیگنال دیجیتال، ریزپردازنده هایی با طراحی خاص هستند که وظیفه پردازش سیگنال های دیجیتال را دارند. قطعاتی مانند کارت صدا،مودم،روتر و...دارای یک پردازنده به منظور پردازش سیگنال های دیجیتال هستند. مثلاً در دوربین دیجیتال اطلاعات خام خروجی از سنسور تصویر و مبدل آنالوگ به دیجیتال را دریافت کرده و تصویر قابل نمایش در صفحه نمایشگر یا قابل انتقال به کامپیوتر را تشکیل می‌دهد.پردازش سیگنال دیجیتال توسط عملیات ریاضی انجام ...  ادامه مطلب 
انتخاب الکترود زمین برای مشترکان فشار ضعیف
 ۱۶ دی ۱۳۹۷
 گروه تحقیق و توسعه تالی الکتریک

انتخاب الکترود زمین برای مشترکان فشار ضعیف

براساس مبحث 13مقررات ملی ساختمان ویرایش سال 1395،  الکترودهای زمین مطابق با حداکثر جریانی که از یک فاز به تاسیسات مشترک تحویل داده می شود،  انتخاب می شوند که در زیر به بررسی آنها می پردازیم. طبق بند 13-5-4-1 مبحث 13،صفحه 59 برای هر انشعاب اعم از تکفاز و سه فاز، حداقل یک اتصال زمین ایمنی باید پیش بینی شود.نوع این اتصال در شهرها، شهرک ها و مجموعه ها با توجه به شرایط زیر و با توجه به حداکثر جریانی که از یک ...  ادامه مطلب 
عیب یابی کابل های برق
 ۰۹ دی ۱۳۹۷
 گروه تحقیق و توسعه تالی الکتریک

عیب یابی کابل های برق

از زمانی که استفاده از کابل های مدفون در زیرزمین مرسوم شد، سازندگان تجهیزات الکتریکی با مشکل عیب یابی کابل های قدرت زیر زمینی رو به رو شدند. جهت حل  این مشکل سازندگان دستگاه های تست، راه های گوناگونی ارائه و روش های عیب یابی جدید برای رفع آنها ابداع کرده اند. گاهی در کارگاه‌های دورافتاده امکانات اندکی وجود دارد و برقکار باید با همین امکانات سعی کند تا محل معیوب کابل را بیابد.شیوه های معمولی و قدیمی تست و عیب یابی ...  ادامه مطلب 
اتصال کوتاه چیست؟
 ۰۹ دی ۱۳۹۷
 گروه تحقیق و توسعه تالی الکتریک

اتصال کوتاه چیست؟

اتصال کوتاه مداری است که باعث ایجاد مسیری با امپدانس پایین شده و جریان به راحتی ازآن عبور می کند.در واقع اتصال کوتاه یک مسیر ارتباطی ناخواسته بین دو قسمت از یک مدار الکتریکی است. به جریانی که در اثر اتصال کوتاه در مدار جاری می شود، جریان اتصال کوتاه می گویند و می تواند در عرض چند میلی ثانیه، هزاران بار بزرگتر از جریان نامی سیستم باشد. به عبارت دیگر، اتصال کوتاه ارتباط ناخواسته بین دو گره با ولتاژهای متفاومت می باشد و باعث ...  ادامه مطلب 
اینورتر چیست؟
 ۰۳ دی ۱۳۹۷
 گروه تحقیق و توسعه تالی الکتریک

اینورتر چیست؟

اینورتر مبدلی است که ولتاژ مستقیم DC را به ولتاژ متناوب AC تبدیل می کند. در بیشتر موارد، معمولا ولتاژ DC ورودی پایین بوده در حالی که خروجی AC برابر ولتاژ تغذیه شبکه می باشد. فرکانس و سطح ولتاژی تولیدی توسط این قطعه الکترونیکی می‌تواند توسط تقویت‌کننده‌ها به سطح ولتاژ و فرکانس دلخواه تبدیل گردد.اینورترها قطعات متحرک ندارند و در طیف گسترده ای از ابزارهای کاربردی از منبع تغذیه کامپیوتر گرفته تا ابزار بزرگ حمل و نقل استفاده ...  ادامه مطلب 
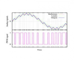
PWM چیست؟
 ۰۳ دی ۱۳۹۷
 گروه تحقیق و توسعه تالی الکتریک

PWM چیست؟

مدولاسیون پهنای باند( PWM )، یک روش بسیار موثر برای بدست آوردن ولتاژ خروجی قابل کنترل و قابل تنظیم از ولتاژ ورودی ثابت یا متغیر می باشد. تکنولوژی مدولاسیون پهنای پالس بیشتر در اینورترها برای تولید ولتاژ خروجی ثابت از 110ولت تا 230ولت AC، صرف نظر از بار، مورد استفاده قرار می گیرد. این مدولاسیون فقط عرض سیگنال را تغییر داده و فرکانس همیشه ثابت است. به عبارت دیگر PWM یک اصطلاح برای یک نوع از سیگنال دیجیتال می باشد که در مدارهای مختلف برای ...  ادامه مطلب 
بمب الکترومغناطیسی چیست؟
 ۰۳ دی ۱۳۹۷
 گروه تحقیق و توسعه تالی الکتریک

بمب الکترومغناطیسی چیست؟

یک بمب الکترونیکی (بمب الکترومغناطیسی) سلاحی است که از یک میدان الکترومغناطیسی شدید برای ایجاد یک پالس انرژی استفاده می کند. به عبارت دیگر بمب الکترومغناطیسی با انفجار خود پالس بسیار بزرگی را در محیط منتشر می‌کند که این پالس ها با نفوذ به سیستم‌های الکترونیکی قادر به تخریب عملکرد آن‌ها می‌باشند. این نوع بمب ها به انسانها و ساختمانها خسارت وارد نمی کند.در سطوح پایین، پالس تولید شده به طور موقت سیستم های ...  ادامه مطلب 
رکتیفایر چیست؟
 ۰۳ دی ۱۳۹۷
 گروه تحقیق و توسعه تالی الکتریک

رکتیفایر چیست؟

در خیلی از موارد برای راه اندازی مدارات الکترونیکی به ولتاژهای DC نیاز داریم. برای این منظور می توانیم به راحتی ولتاژ یا جریان AC را به ولتاژ یا جریان DC تبدیل کنیم اینکار توسط دستگاهی به نام رکتیفایر که شامل یک یا چنددیود اتصال p-n می باشد، صورت می گیرد. دیود اتصال p-n، مانند یک شیر یک طرفه عمل کرده و فقط اجازه عبور جریان الکتریکی در یک جهت را می دهد و از عبور آن در جهت مخالف پیشگیری می‌کند، این عمل را یکسو سازی می نامند. علاوه بر ...  ادامه مطلب 
کلید خلا چیست؟
 ۰۳ دی ۱۳۹۷
 گروه تحقیق و توسعه تالی الکتریک

کلید خلا چیست؟

کلید قطع کننده خلا که به آن Vacuum interrupter می گویند، کلیدی است که کنتاکت های آن در یک محفظه خلا قرار دارند. این تجهیز قطعه اصلی و هسته اصلی مدارشکن های ولتاژ متوسط و ولتاژ بالا به حساب می آید. هنگام جداشدن کنتاکت ها، در خلا آرک رخ داده که بلافاصله خاموش می گردد. از قطع کننده های خلا می توان برای دژنکتور و کلید قطع کننده بار استفاه کرد. این کلید خاصیت ترمیم دی الکتریک را داشته و یک قطع کننده عالی برای قطع جریان های فرکانس بالایی که ...  ادامه مطلب 
اثر پیزوالکتریک
 ۰۳ دی ۱۳۹۷
 گروه تحقیق و توسعه تالی الکتریک

اثر پیزوالکتریک

اثر پیزوالکتریک توانایی مواد خاص و کریستال ها برای تولید انرژی الکتریکی در اثر فشار مکانیکی اعمال شده می باشد. لغت پیزوالکتریک یعنی الکتریسیته‌ی ناشی از فشار که از لغت یونانی به معنای فشردن گرفته شده است. مواد پیزوالکتریک می‌توانند با دریافت انرژی الکتریکی، پاسخ مکانیکی دهند، برای مثال مواد پیزوالکتریک در منابع تولید کننده امواج صوتی در ادوات تصویربرداری سونوگرافی، تولید اختلاف پتانسیل الکتریکی در برخی بلورهای ...  ادامه مطلب 
مزایای استفاده از UPS
 ۰۳ دی ۱۳۹۷
 گروه تحقیق و توسعه تالی الکتریک

مزایای استفاده از UPS

امروزه کسب و کارهای موفق بسیار کمی وجود دارد که میتوانند بدون برق، عملکرد خوبی داشته باشند. شبکه برق شهری نیز معمولا دارای مشکلات فراوانی بوده و برای دستیابی به اطمینان پذیری بالا نیاز به استفاده از تجهیزات برقی مناسب می باشد. از مشکلات برق شهر می توان به موارد زیر اشاره کرد: قطع برق شهر (BlackOut) کاهش ناگهانی ولتاژ (Power Sag) افت طولانی ولتاژ (Brown Out) افزایش شدید و ناگهانی ولتاژ (Spike & Surge) افزایش طولانی ولتاژ (Over ...  ادامه مطلب 
ریز شبکه چیست؟
 ۰۳ دی ۱۳۹۷
 گروه تحقیق و توسعه تالی الکتریک

ریز شبکه چیست؟

ریز شبکه که به آن Microgrid نیز می گویند، شامل مجموعه ای از تولید پراکنده نظیر توربین بادی، دیزل ژنراتور، پیل سوختی و سیستم فتوولتاییک، سیستم ذخیره انرژی و بارها بوده که قابلیت کنترل داشته و تامین کننده توان الکتریکی و در صورت نیاز گرمایی می باشد و می‌تواند به صورت اتصال به شبکه و یا عملکرد جزیره‌ای مورد بهره‌برداری قرار گیرد. ریزشبکه دارای منافع زیادی هم برای مصرف کننده و هم برای شرکت‌های تولید برق خواهد داشت. از دید ...  ادامه مطلب 
پیل سوختی چیست؟
 ۰۳ دی ۱۳۹۷
 گروه تحقیق و توسعه تالی الکتریک

پیل سوختی چیست؟

یک سلول سوختی (Fuel cell) از طریق یک واکنش شیمیایی و بدون احتراق، برق تولید می کند. این سلول هیدروژن و اکسیژن را به آب تبدیل کرده و در طول این فرآیند تولید برق می کند. در واقع این سلول یک دستگاه مبدل انرژی الکتریکی است که برق، آب و گرما تولید می کند. سلول های سوختی بیشتر شبیه به باتری بوده با این تفاوت که برای شارژ شدن به برق نیازی ندارند. یک باتری مواد شیمیایی را داخل خود ذخیره کرده و انرژی شیمیایی را به الکتریسته تبدیل می کند و ...  ادامه مطلب 
اسپویلر جریان هوا ( Air Flow Spoiler )
 ۲۸ آذر ۱۳۹۷
 گروه تحقیق و توسعه تالی الکتریک

اسپویلر جریان هوا ( Air Flow Spoiler )

اسپویلر جریان هوا یا Air Flow Spoiler، جهت خنثی کردن آسیب های ناشی از وزیدن باد که عامل اصلی ایجاد پدیده گالوپینگ می باشد، طراحی شده است. این تجهیزات برای حفظ و ثبات آیرودینامیکی، بوسیله تغییر مداوم نسبت به باد و حذف نیروهای لیفت به کار می رود.اسپویلر جریان هوا شامل : بخش محکم کننده، بخش میرا کننده و مارپیچ پشتیبان می باشد. 1- بخش محکم کننده Gripping Section شامل چندین پیچش (360 درجه اطراف کابل) بوده و اسپویلر جریان هوا را در ...  ادامه مطلب 
پنل خورشیدی قابل حمل
 ۲۸ آذر ۱۳۹۷
 گروه تحقیق و توسعه تالی الکتریک

پنل خورشیدی قابل حمل

امروزه موضوع اصلی تکنولوژی پنل خورشیدی، بر پایه افزایش انعطاف پذیری و قابل حمل کردن آن می باشد. این پانل های خورشیدی انعطاف پذیر و قابل خم شدن ، سبب می شود در محیط های بیرون به راحتی انرژی برق مورد نیاز خود را تامین کنید. پنل های قابل انعطاف خورشیدی در اشکال مختلف، برای کاربردهای مختلفی مورد استفاده قرار می گیرد.  بسته به فن آوری های مورد استفاده، پانل ها تا حدودی یا به طور کامل انعطاف پذیر هستند. در عین حال، می ...  ادامه مطلب 
حلقه زمین ( Ground loop )
 ۲۸ آذر ۱۳۹۷
 گروه تحقیق و توسعه تالی الکتریک

حلقه زمین ( Ground loop )

حلقه های زمین (Ground loops) یکی از علل اصلی ایجاد نویز و تداخل در سیستم های صوتی، تصویری و کامپیوتری هستند. در یک سیستم الکتریکی حلقه زمین (Ground loop) زمانی که دو نقطه از مدار که به زمین مرجع وصل شده اند و دارای اختلاف پتانسیل باشند، رخ می دهد. این امر باعث ایجاد جریان ناخواسته در مدار می گردد. برای مثال در مدارات سیگنال دارای زمین مرجع،اگر اختلاف پتانسیل بین دو نقطه زمین وجود داشته باشد جریانی در مدار برقرار می شود. به عبارت دیگر ...  ادامه مطلب 
نحوه عملکرد کلید خلا و کاربردهای آن
 ۲۸ آذر ۱۳۹۷
 گروه تحقیق و توسعه تالی الکتریک

نحوه عملکرد کلید خلا و کاربردهای آن

بریکر یا مدارشکن تجهیزی است که ،مدارهای الکتریکی را در برابر جریان های نا خواسته ای که در اثر اتصال کوتاه ناشی از اضافه بار بوجود می آید، محافظت می کند.عملکرد اصلی این تجهیز، قطع جریان،هنگام تشخیص خطا می باشد.کلید خلا (vacuum circuit breaker) نوعی از بریکرها می باشد، که قوس الکتریکی را در محفظه خلا خاموش می کند.عملیات فعال کردن و بستن کنتاکت های حامل جریان و قطع و خاموش کردن آرک در یک محفظه خلا صورت می گیرد، که به آن ...  ادامه مطلب 
منظور از بار( Burden ) در ترانس جریان چیست؟
 ۲۸ آذر ۱۳۹۷
 گروه تحقیق و توسعه تالی الکتریک

منظور از بار( Burden ) در ترانس جریان چیست؟

از ترانس جریان برای اندازه گیری جریان و همچنین تبدیل جریان زیاد به جریان کم، جهت حفاظت و اندازه گیری استفاده می شود. تعیین مقدار جریان عبوری از خط، جهت اندازه گیری و مخصوصا سیستم های حفاظتی ضروری می باشد و به دلیل بالا بودن جریان، مستقیماً نمی توانیم از کل جریان خط در این نوع دستگاه ها استفاده کنیم. همچنین در شبکه های انتقال نیرو و همچنین به دلیل بالا بودن ولتاژ که نیاز به نمونه برداری جریان از قسمت ...  ادامه مطلب 
ارت چیست و چه کاربردی دارد؟
 ۲۱ آذر ۱۳۹۷
 گروه تحقیق و توسعه تالی الکتریک

ارت چیست و چه کاربردی دارد؟

ارت یا ارث (earth) به معنای زمین است که در صنعت برق به آن سیستم اتصال زمین اطلاق می‌شود. در مهندسی برق، واژه ارت با توجه به کاربردهای آن دارای مفاهیم متنوعی است. اما در اینجا این واژه در مورد اتصال مستقیم به زمین مورد استفاده قرار می‌گیرد. یک مدار الکتریکی ممکن است به دلایل مختلفی به زمین متصل شده باشد. در مدارهای قدرت این اتصال‌ها عموماً برای افزایش ایمنی و محافظت افراد یا دستگاه‌ها از تاثیرات معیوب بودن ...  ادامه مطلب 
دو فاز شدن برق چیست؟
 ۲۱ آذر ۱۳۹۷
 گروه تحقیق و توسعه تالی الکتریک

دو فاز شدن برق چیست؟

در بسیاری از مواقع مشاهده می‌شود که پریزهای برق منازل یا محل‌های کار هردو دارای فاز هستند ویا به اصطلاح دوفاز شده‌اند. این اتفاق زمانی رخ می‌دهد که سیم وسط ترانس توزیع برق شبکه اصلی قطع شده باشد یا در آن ایرادی روی دهد. در ترانس‌های توزیع سراسری برق شبکه‌های انتقال معمولا انشعاب چندین مشترک از یک ترانس منشعب می‌شود و معمولا یک سیم نول برای هر سه فاز استفاده می‌شود و این سیم نول نیز به صورت مشترک بین ...  ادامه مطلب 
انتخاب باتری برای یوپی‌اس
 ۲۱ آذر ۱۳۹۷
 گروه تحقیق و توسعه تالی الکتریک

انتخاب باتری برای یوپی‌اس

برای انتخاب صحیح باتری یوپی‌اس و اینورتر باید میزان موارد زیر را بدانیم: ۱. میزان توان مصرفی(برحسب وات) ۲. میزان پشتیبانی مدنظر(بر حسب ساعت) ۳. ولتاژ ورودی باتری یوپی‌اس مورد نظر(برحسب ولت) نکته: در خصوص مورد ۳ بایستی به این نکته توجه کرد که یوپی‌اس‌ها ولتاژ ورودی باتری‌ها را به ۲۲۰ تبدیل می‌کنند و استاندارد ولتاژ باطری‌های کلسیمی، اتمی، ژله‌ای و سیلد اسیدی ۱۲ ولت است. پس عدد آیتم ۳ همواره ...  ادامه مطلب 
آیا باتری یوپی‌اس و خودرو با یکدیگر متفاوت هستند؟
 ۲۱ آذر ۱۳۹۷
 گروه تحقیق و توسعه تالی الکتریک

آیا باتری یوپی‌اس و خودرو با یکدیگر متفاوت هستند؟

باتری‌های خودرو (در انواع ژله‌ای، کلسیمی، اتمی و…) نیروی الکتریسیته را با استفاده از واکنش اسیدسولفوریک بر روی صفحات سربی که درمایع معلق هستند ایجاد می‌کنند، به همین دلیل به آن‌ها باتری‌های ” معلق درمایع” نیز گفته می‌شود. این باتری‌ها به این دلیل که این امکان وجود دارد که اسید از محفظه باتری به بیرون نشت کند و نیز هنگام شارژ باتری ممکن است گازهیدروژن قابل اشتعال ...  ادامه مطلب 
راهنمای خرید اینورتر برای تلویزیون
 ۲۱ آذر ۱۳۹۷
 گروه تحقیق و توسعه تالی الکتریک

راهنمای خرید اینورتر برای تلویزیون

در ایام تابستان خصوصا روزهای گرم آن با توجه به محدودیت تولید و توزیع برق سراسری و از طرف اوج یکباره مصرف برق، در بسیاری از مناطق کشور نوسان شدید و گاهی قطعی برق رخ می‌دهد. از آن‌جایی که مدت زمان این قطعی بعضا به چند ساعت می‌کشد، بسیاری از مردم جهت استفاده از  وسایل برقی نیاز به مولدهای برق از جمله ژنراتور، یوپی‌اس اینورتر و … خواهند داشت. جهت راهنمای خرید خرید اینورتر برای تلویزیون با ما ...  ادامه مطلب 
انتخاب محل مناسب برای یوپی‌اس
 ۲۱ آذر ۱۳۹۷
 گروه تحقیق و توسعه تالی الکتریک

انتخاب محل مناسب برای یوپی‌اس

از موارد مهمی که در استفاده و مراقبت از یوپی‌اس،انتخاب محل مناسب برای یوپی‌اس جهت نصب صحیح دستگاه است. باید در نظر داشته باشیم که انتخاب مکان‌های ناسازگار  باعث آسیب‌های خطرناک و جبران‌ناپذیری برای یوپی‌‌اس، کامپیوترها و سایر دستگاه‌های متصل به آن می‌شود. از طرف دیگر جهت افزایش عمر و بازدهی یوپی‌اس و نیز کاهش نقص‌ها، انتخاب محل مناسب جهت نصب دستگاه یوپی‌اس از اهمیت زیادی ...  ادامه مطلب 
آیا می‌توان از ترانس تک‌فاز برای برق سه‌فاز استفاده کرد؟
 ۲۱ آذر ۱۳۹۷

آیا می‌توان از ترانس تک‌فاز برای برق سه‌فاز استفاده کرد؟

یکی از سوالاتی که در خصوص برق‌های سه فاز و تک فاز مطرح می‌شود اینست که آیا می‌توان از ترانس تک‌فاز برای برق سه‌فاز استفاده کرد؟ برای پاسخ به این سوال بایستی به نکات زیر توجه کرد. اولین نکته در هنگام انتخاب ترانس برای برق سه فاز ایسنت که بدانیم، مصرف کننده‌های ما تک‌فاز هستند یا سه فاز؟ در صورتیکه تمامی مصرف کننده‌های ما تک فاز باشند، می‌توان اینگونه در نظر گرفت ...  ادامه مطلب 
استابلایزر چیست؟
 ۲۱ آذر ۱۳۹۷
 گروه تحقیق و توسعه تالی الکتریک

استابلایزر چیست؟

شاید برای شما هم این سوال پیش آمده باشد که استابلایزر چیست؟ در حقیقت استابلایزر (و یا ترانس اتوماتیک) در معنای لغوی به مفهوم تثبیت کننده و منظور ما در اینجا تثبیت ولتاژ متناوب است. استابلایزرها یا تثبیت کننده برق شهر تجهیزاتی هستند که به روش‌های مختلف الکترونیکی، مکانیکی و یا ترکیبی با توجه به حساسیت تعیین شده که بر اساس آن طراحی شده‌اند، نوسانات ولتاژ برق شهر را در محدوده معین کنترل می‌نماید. ذکر این نکته مهم است ...  ادامه مطلب 
تفاوت استابلایزر و ترانس اتوماتیک چیست؟
 ۲۱ آذر ۱۳۹۷
 گروه تحقیق و توسعه تالی الکتریک

تفاوت استابلایزر و ترانس اتوماتیک چیست؟

ترانس‌های اتوماتیک(رله‌ای یا پله‌ای) و استابلایزرهای سرووموتوری دو تکنولوژی برای جبران سازی افت ولتاژ برق شهر هستند. در ترانس‌های اتوماتیک افت ولتاژ از طریق رله‌های تعبیه شده در دستگاه و به صورت پله‌ای اصلاح می‌شود، در این فناوری ولتاژ خروجی روی یک عدد ثابت تثبیت نمی‌شود بلکه در یک بازه مناسب و استاندارد تثبیت می‌شود. عموما بازه این تکنولوژی بین ۱۰ تا ۱۵ ولت است(به طور مثال ...  ادامه مطلب 
راهنمای خرید استابلایزر برای یخچال فریزر
 ۲۱ آذر ۱۳۹۷
 گروه تحقیق و توسعه تالی الکتریک

راهنمای خرید استابلایزر برای یخچال فریزر

همانطور که می‌دانید وسایل الکتریکی برای کارکرد مناسب نیاز به ولتاژ تثبیت شده برق شهر دارند. به همین دلیل بر آن شدیم که راهنمای خرید استابلایزر برای یخچال فریزر را بر اساس اطلاعات تجربی خود در اختیار شما قرار دهیم. یکی از وسایل برقی نسبتا حساس نسبت به نوسانات برق شهر که تقریبا در تمامی خانه‌ها وجود دارد، یخچال و فریزر است. موتور و کمپرسور انواع یخچال و فریزر فارغ از ایرانی یا خارجی بودن، نو یا ...  ادامه مطلب 
راهنمای خرید استابلایزر و ترانس برای تلویزیون
 ۲۱ آذر ۱۳۹۷
 گروه تحقیق و توسعه تالی الکتریک

راهنمای خرید استابلایزر و ترانس برای تلویزیون

همانطور که می‌دانید تمامی دستگاه‌های الکترونیکی از جمله انواع تلویزیون‌های ال‌سی‌دی، ال‌ای‌دی، سی‌آرتی و سایر سیستم‌های صوتی و تصویری همچون ست‌اپ باکس‌، دی‌وی‌دی پلیر، سینمای خانگی و باید با ولتاژ تثبیت شده در محدوده ۲۲۰ ولت راه‌اندازی و استفاده شوند. از آنجایی که در بسیار از مناطق ولتاژ برق به علل مختلفی همچون دوری و نزدیکی به پست‌های توزیع برق، استفاده ...  ادامه مطلب